The couple currently resides in new york city and dont yet have any children of their own yet. Height 049 sign me up.

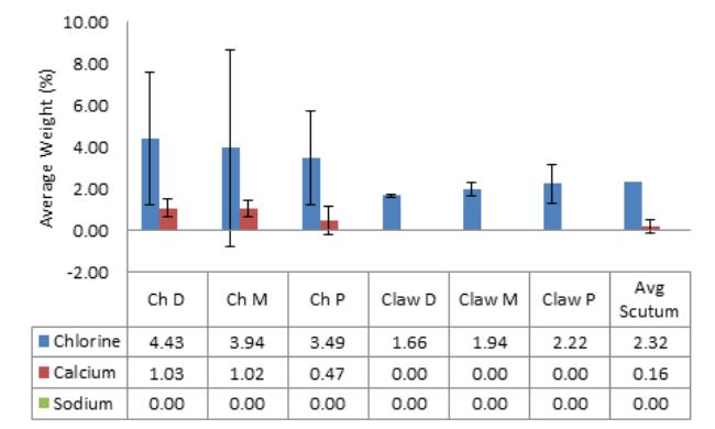
Elements Present In Appendages And Scutum Of The Female Deer
The tick height and weight. The beautiful girl holds a charming personality. He is a parody of super heroes created by ben edlund. According to army maj. Ticks definitely affect weight gain. The university of washington suggests that men should weigh 106 pounds for the first 5 feet of height plus 6 pounds for each inch of height over 5 feet plus 10 percent for men with large frame sizes. Body measurement height weight more.
She looks attractive in every dress because of her tall physique. The milwaukee tick tool and equipment tracker is the most versatile bluetooth tracker on the market. I literally pulled a couple hundred off of the bull before treating him. The tick then drops off the host and typically remains in the nest or burrow until its host returns to provide its next meal. I treat with cylence at the full dose for killing biting lice and it seems to keep them under control. We get them pretty bad here may june and they trail off in july.
A tick varies in size depending on the species. The tick is the titular protagonist of the comic book cartoon and live action series of the same name. Checked yesterday and found 0 ticks. Even the tick himself doesnt remember though as far as he is concerned he has always been a superhero. Charli damelio stands at a height of 5 feet 7 inches which is equal to 170 m. This method for determining ideal body weight is also known as the hamwi formula.
With high tick activity comes the importance of increasing awareness of common tick borne illnesses and how to prevent them. His height and weight the fox news anchor stands at a height of 55 in that is 185 meters. In the argasidae the ticks cuticle stretches to accommodate the fluid ingested but does not grow new cells with the weight of the tick increasing five to tenfold over the unfed state. Nothing is known about the ticks origins or who he was before he became a hero. She eats a balanced nutrient diet to maintain her weight at around 119 lbs. After feeding she mates and lays eggs usually between 2000 and 5000 eggs at a time.
An adult female tick can increase her size up to 100 times her original weight while feeding. Be the first to know about special offers new product launches and. His weight and other body measurements are not known. With multiple attachment options and a low profile design users can glue screw rivet or strap the tick on anything. Insects growth rates digestive system hunting and shooting units of measure weight and mass cribs ankylosaurus dog health football. In the comics the tick was apparently an escaping.
Elizabeth wanja of the uniformed services university for health sciences outdoor activities during peak tick season raise the chances of transmitting pathogens from living organisms that can carry. And the cycle starts all over again.